৩ হাজার জনবল নিয়োগ বিভিন্ন পদে সরকারি কর্ম কমিশনে - Public Commission Job Cercular

নন-ক্যাডারে সাড়ে ৩ হাজার জনবল নিয়োগ বিজ্ঞপ্তি দিয়েছে সরকারি কর্ম-কমিশন (পিএসসি) বাংলাদেশ সরকারি কর্ম কমিশন বড় ধরনের নিয়োগ বিজ্ঞপ্তি প্রকাশ করেছে। 



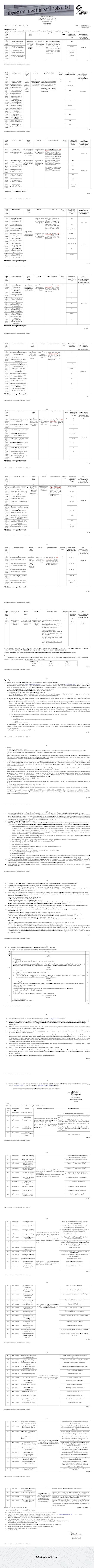
সম্প্রতি প্রকাশিত দুইটি বিজ্ঞপ্তি অনুসারে প্রতিষ্ঠানটি নন-ক্যাডারের এসব পদে প্রায় সাড়ে তিন হাজার জনকে চাকরি দেবে। আবেদন গ্রহণ ২৮ অক্টোবর থেকে শুরু হয়ে চলবে ২৫ নভেম্বর ২০২১ পর্যন্ত। মঙ্গলবার (২৬ অক্টোবর) পরীক্ষা নিয়ন্ত্রক (নন-ক্যাডার) স্বাক্ষরিত প্রকাশিত দুইটি নিয়োগ বিজ্ঞপ্তি অনুসারে ২০৫ জন নেবে বিজ্ঞপ্তি নম্বরের ( ৫৫-৭৯ ) অধীনে। বাকি ৩২৪৪ জন নেওয়া হবে (৮০-১৪৭) নম্বর বিজ্ঞপ্তি থেকে। বেতন: ৬ষ্ঠ, ৯ম ও ১০ম গ্রেডে।

বয়সসীমা: ২৫ মার্চ ২০২০ তারিখের মধ্যে বয়স সর্বোচ্চ ৩০ বছর। 

আবেদন প্রক্রিয়া: আগ্রহী প্রার্থীরা http://bpsc.teletalk.com.bd/ থেকে অনলাইনে আবেদন করতে পারবেন। আবেদন ফি: ৫০০ টাকা। 

পদের নাম, আবেদন যোগ্যতা ও অভিজ্ঞতার বিষয়ে বিস্তারিত দেখে নিতে পারেন বিজ্ঞপ্তি থেকে। 

পিএসসি এর অফিসিয়াল ওয়েবসাইটে নিয়োগ সার্কুলার দুইটি আলাদাভাবে পুরোপুরি দেখার লিংক- http://www.bpsc.gov.bd/site/view/psc_exam/Non-Cadre%20Examination/

  

XXXX



সরকারী কর্ম কমিশন ৩ হাজার নিয়োগ বিজ্ঞপ্তিটির পিডিএফ ফাইল ডাউনলোড করুন।

প্রথম পিডিএফ 

XXXX

দ্বিতীয় পিডিএফ 



Offer

Ads Area